The Radiator model represents a heating device. This model also includes the conduction through the radiator wall.
The Radiator model represents a heating device. Heat energy taken from the hot water flow through the device is being emitted via convective and radiative energy transport connectors. The ratio of convective and radiative energy flows depends on the type of the heating device (see table).
T_source output is relevant for exergy analysis. It describes the logarithmic mean temperature is calculated from the temperatures at in- and outlet of the radiator.
Type |
Fraction of convective transport |
Fraction of radiative transport |
|
SectionalRadiator Simple (vertical) sectional radiator |
0.70 |
0.30 |
|
PanelRadiator10 10 -- Panel radiator (single panel) without convection device |
0.50 |
0.50 |
|
PanelRadiator11 11 -- Panel radiator (single panel) with one convection device |
0.65 |
0.35 |
|
PanelRadiator12 12 -- Panel radiator (single panel) with two convection devices |
0.75 |
0.25 |
|
PanelRadiator20 20 -- Panel radiator (two panels) without convection device |
0.65 |
0.35 |
|
PanelRadiator21 21 -- Panel radiator (two panels) with one convection device |
0.80 |
0.20 |
|
PanelRadiator22 22 -- Panel radiator (two panels) with two convection devices |
0.85 |
0.15 |
|
PanelRadiator30 30 -- Panel radiator (three panels) without convection device |
0.80 |
0.20 |
|
PanelRadiator31 31 -- Panel radiator (three panels) with one convection device |
0.85 |
0.15 |
|
PanelRadiator32 32 -- Panel radiator (three panels) with two or more convection devices |
0.90 |
0.10 |
|
ConvectorHeaterUncovered Convector heater without cover |
0.95 |
0.05 |
|
ConvectorHeaterCovered Convector heater with cover |
1.00 |
- no radiative transport - |
The Height H of the radiator is discretized in N single Layers, as
shown in Figure 1

Figure 1: Multilayer Model of radiator
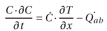
For every layer the equation (1) is solved.
|
|
|
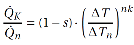
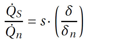
The total heat emission consists of a convective and a radiative part.
|
|
|
|
|
|
|
|
|
The convective heat emission is proportional to
.
The radiative heat emission is proportional to
=(T_L + DeltaT)^4-TR^4 (T_L: Room Temperature,
DeltaT: heater excess temperature, T_R: radiative temperature).
|
|
|
|
|
|
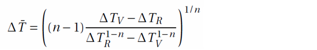
The heat emission of the radiator depends on the heater excess temperature. In the model it is possible to choose between:
Method |
Formula |
|
|
arithmetic heater excess temperature |
|
|
|
logarithmic heater excess temperature |
|
|
|
exponential heater excess temperature according to [2] |
|
|
Due to stability reasons and accuracy at small heating medium flow, an exponential calculation of the heater excess temperture is recommended. The function "calcHeaterExcessTemp " regularize the discontinuities in equation (9).
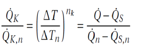
The radiator exponent according to DIN 442 is valid for the total heat emission. the radiative heat emission part grows larger. This is considered by the following formulas:
|
|
|
|
|
|
The modified convective exponent is calculated by (11). The region of discontinuity in eq. (11) has not yet been regulized, so a constant radiator exponent is used for now.
In the model the heat emission is calculated according to eq. (5), (6) for every layer and the respective power is connected to the romm via the thermal ports. A varHeatSource (inPort=total heat emission) is connected via a thermal port to the enthalpie flow of the heating medium and the stored heat in the radiator mass.
Knowing the heat load of the room, an appropriate radiator can be choosen out of a Radiator DataBase via a record. But it is also possible to simulate with arbitrary parameters.
The thermal part of the model is adapted from [3] and [1].