Overview
This model shows the usage of all three ExergyMeters, namely
- enthalpy flow: AixLib.Utilities.Sensors.ExergyMeter.FlowExergyMeter
- heat flow: AixLib.Utilities.Sensors.ExergyMeter.HeatExergyMeter
- stored energy: AixLib.Utilities.Sensors.ExergyMeter.StoredExergyMeter
The system is a simplified energy supply system. The supplied heat flow rate matches the extracted heat flow rate. Due to the irreversibilities, especially in the storage, the exergy output is smaller than the exergy input.
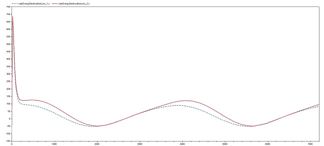
Two different exergy balances can be compared. One is calculated using the enthalpy flows. The other is calculated using the heat flow rates. Due to the different system boundaries, the exergy destructions is a little different, as the following figure shows.

| Name | Description |
|---|---|
| Medium | Medium in the sensor |