This model represents a two-pipe hydraulic distribution system serving multiple terminal units. It is primarily intended to be used in conjunction with models that extend Buildings.DHC.Loads.BaseClasses.PartialTerminalUnit. The typical model structure for a whole building connected to an energy transfer station (or a dedicated plant) is illustrated in the schematics in the info section of Buildings.DHC.Loads.BaseClasses.PartialBuilding.
The pipe network modeling is decoupled between a main distribution loop and several terminal branch circuits:
Optionally:
The modeling approach aims to minimize the number of algebraic
equations by avoiding an explicit modeling of the terminal
actuators and the whole flow network. In addition, the assumption
allowFlowReversal=false is used systematically
together with boundary conditions which actually ensure that no
reverse flow conditions are encountered in simulation. This allows
directly accessing the inlet enthalpy value of a component from the
fluid port port_a with the built-in function
inStream. This approach is preferred to the use of
two-port sensors which introduce a state to ensure a smooth
transition at flow reversal. All connected components must meet the
same requirements. The impact on the computational performance is
illustrated below.
The pump head is computed as follows (see also Buildings.DHC.Loads.BaseClasses.Validation.FlowDistributionPumpControl for a comparison with an explicit modeling of the piping network).
dpPum = dp_nominal.
dpPum = dp_nominal.
dpPum = dpMin + (dp_nominal - dpMin) * m_flow / m_flow_nominal.
dpPum = dpMin + dpVal + 2 * Σi dpDis[i],
where
dpDis[i] = 1 / K[i]2 * mDis_flow[i] 2,
where mDis_flow[i] = Σi to nUni mReq_flow[i] is the mass flow rate in the same pipe segment, and K[i] = (Σi to nUni mUni_flow_nominal[i]) / dpDis_nominal[i]0.5 is the corresponding flow coefficient (constant).
The pressure drop in the corresponding pipe segment of the return line is considered equal, hence the factor of 2 in the above equation.
The default value for dpDis_nominal corresponds to
a configuration where the differential pressure sensor is located
before the most remote connected unit, 20% of the nominal pressure
drop in the distribution network occurs between the pump and the
first connected unit (supply and return), the remaining pressure
drop is evenly distributed over each pipe segment between the other
connected units. The user can override these default values with
the requirement that the nominal pressure drop of each pipe segment
downstream of the differential pressure sensor must be set to
zero.

The energy dynamics and the time constant used in the ideal heater and cooler model are exposed as advanced parameters. They are used to represent the typical dynamics over the whole piping network, from supply to return. The mass dynamics are by default identical to the energy dynamics.
Simplifying assumptions are used otherwise, namely
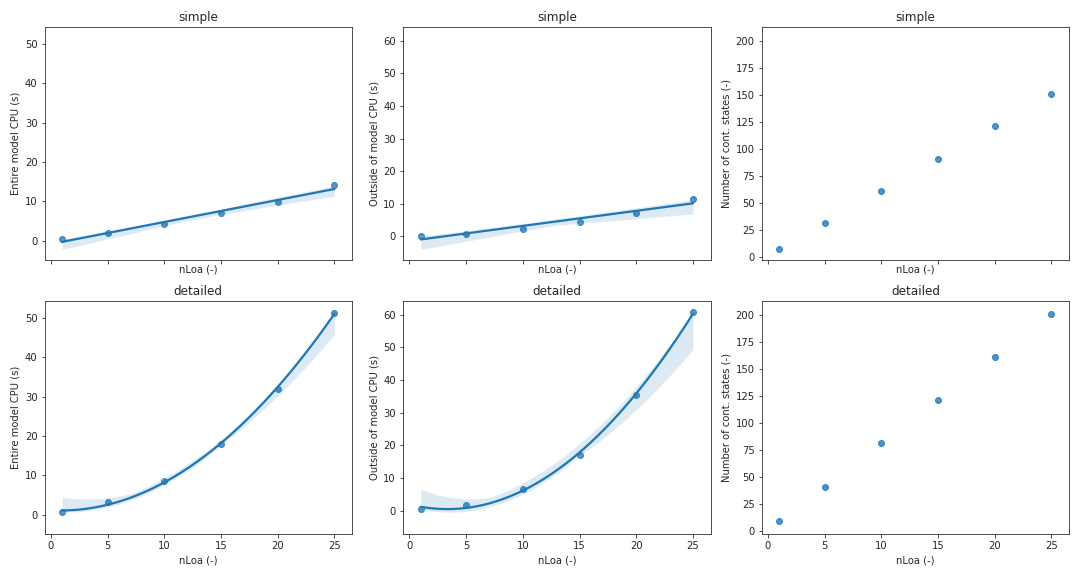
The figure below compares the computational performance of this
model (labelled simple, see model
Buildings.DHC.Loads.BaseClasses.Validation.BenchmarkFlowDistribution1)
with an explicit modeling of the distribution network and the
terminal unit actuators (labelled detailed, see model
Buildings.DHC.Loads.BaseClasses.Validation.BenchmarkFlowDistribution2).
The models are simulated with the solver CVODE from Sundials. The
impact of a varying number of connected loads, nLoa,
is assessed on
A linear, resp. quadratic, regression line and the corresponding
confidence interval are also plotted for the model labelled
simple, resp. detailed.

per. This is for #3099.pumFlo.per.V_flow and
pumFlo.per.pressure. This avoids in OPTIMICA a
compiler error "Could not evaluate binding expression for
structural parameter
'disFloHea.pumFlo.eff.per.pressure.V_flow'".