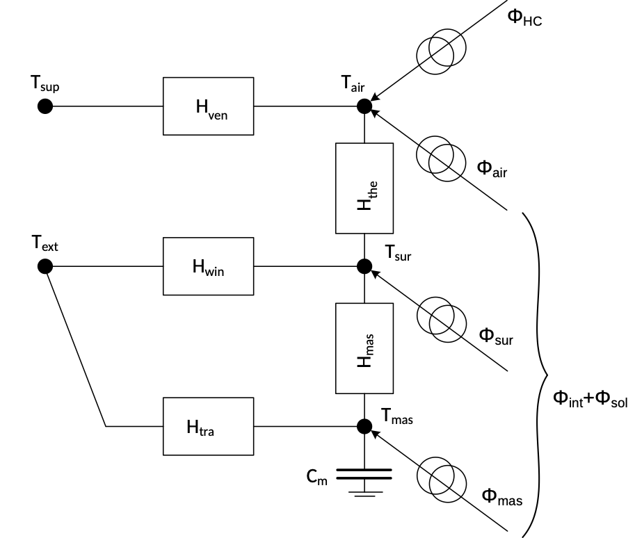
This is a lumped-capacity simplified building model based on the
5R1C network presented in the ISO 13790:2008 Standard. The
simplified 5R1C model uses five thermal resistances and one thermal
capacity to reproduce the transient thermal behaviour of buildings.
The thermal zone is modeled with three temperature nodes, the
indoor air temperature TAir, the envelope internal
surface temperature TSur and the zone's mass
temperature TMas (the heat port is not shown in the
figure), and two boundary condition nodes, supply air temperature
TSup and the external air temperature
TExt. The five resistances are related to heat
transfer by ventilation HVen, windows
HWin, opaque components (split between
HTra and HMas) and heat transfer between
the internal surfaces of walls and the air temperature
HThe. The thermal capacity Cm includes
the thermal capacity of the entire zone. The heating and/or cooling
demand is found by calculating the heating and/or cooling power ΦHC
that needs to be supplied to, or extracted from, the internal air
node to maintain a certain set-point. Internal, Φint , and solar,
Φsol, heat gains are input values, which are split in three
components.

Hven = ρa ca ∑kV̇k,
where ρa is the density of air, ca is the specific heat capacity of air and V̇k is the k-th volumetric external air flow rate. The coupling conductance Hthe is given byHthe = has Atot,
where has is the heat transfer coefficient between the air node the surface node, with a fixed value of 3.45 W/m2K, and Atot is the area of all surfaces facing the building zone. The thermal transmission coefficient of windows Hwin is calculated usingHwin = ∑kUwin,kAwin,k,
where Uwin,k is the thermal transmittance of window element k of the building envelope and Ak is the area of the window element k of the building envelope. The coupling conductance Hmas is given byHmas =hms fms Af,
where hms is the heat transfer coefficient between the mass node and the surface node, with fixed value of 9.1 W/m2K, fms is a correction factor, and Af is the floor area. The correction factor fms can be assumed as 2.5 for light and medium building constructions, and 3 for heavy constructions. The coupling conductance Htra is calculated usingHtra = 1 ⁄ (1 ⁄ Hop - 1 ⁄ Hmas),
where Hop is the thermal transmission coefficient of opaque elements. The three heat gains components are calculated usingΦair = 0.5 Φint,
Φsur = (1-fms Af ⁄ Atot -Hwin ⁄ hms Atot)(0.5 Φint+ Φsol),
Φmas = fms Af ⁄ Atot (0.5Φint + Φsol).
AWin, AWal,
surTil and surAzi must have the same
dimension of nOrientations .AWal must account only for the opaque
parts of the walls (excluding windows). The floor and roof area is
entered through AFlo and ARoo and must
not be entered as part of AWal.coeFac is used to vary the g-factor
as a function of the incident angle of the surface. Often, the
curve can be approximated by a cubic polynomial, as shown in
Buildings.ThermalZones.ISO13790.Validation.BESTEST.Case600.
When this information is not available, the parameter
coeFac must be set to 1.