.BusinessSimulation.Examples.SoftwareReleaseProject

Causal loop example given by van Zijderveld (MARVEL)

Information

This information is part of the Business Simulation Library (BSL). Please support this work and ► donate.

In 2007 Erik J.A. van Zijderveld introduced what he coined a "Method to Analyse Relations between Variables using Enriched Loops (MARVEL)" [24]. He made the following observations:

In section 5 of his paper van Zijderveld gives an illustrative example for the application and utility of MARVEL. The MARVEL diagram for that illustrative application is given below. The problem at hand is a software release project, i.e., a new software is to be introduced in a company, which has great impact upon procedures and organization, while resistance against the software endangers the project. The resistance stems from dismissals, low software quality and poor management [24, p.13].
MARVEL Diagram for a new software release project [24, p.14]
CausalLoopDiagram.png

In the diagram, the thickness of an arrow indicates the strengh of impact whereas length and number of "barriers" at their tips indicate the speed of impact propagation. These attributes are assigned qualitatively using weak, average, strong, very strong to rank strengths and low, average, high, very high to rank speeds.

The model diagram below illustrates how such a model can be built using the →CausalLoop package. Impact relations between variables are encoded using the →ProportionalityDelayed component with global parameters for strength (wk, av, st, vs) and speed (v1, v2, v3, v4) in place, the latter being transformed to delay times, which are inversely related to speed.

Diagram View
ModelDiagram.png

In accordance with the MARVEL version there are four control or intervention points, which can be turned on or off for a simulation run:

These controls mean that whenever there is a deviation between setpoint and actual level of the variable under control, then corrective action will be taken, i.e. a flow to the stock, in order to erradicate the deviation within the chosen adjustment time, whcih is set to 1 yr for all controls.

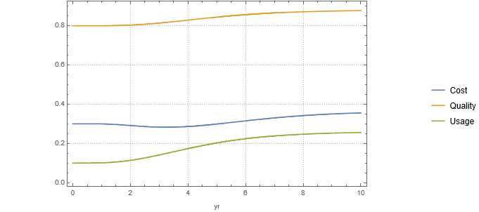
There are three main performance goals: cost effectiveness (costs), production quality (quality), and software usage (usage). In this example the normalized stock values pertaining to the goals are simply mapped upon the linear scale [0,1]. The graph blow shows the development for these performance indicators over a period of 10 years with just the budget control (c1) activated.

Performance Evaluation (c1 active)
PerformanceC1.png

In order to better combare different scenarios we can use a weighted average performance and calculate the mean over the simulation period (→totalPerformance). Using this measure we can compare different combinations of interventions and it turns out that a combination of c3 and c4 shows best average performance albeit withouth considering the control effort (see Notes).

Performance (basis points) for different control combinations
ControlCombinations.png

Notes

See also

HealTheWorld

Contents

Name Description
 Theta Structural parameters
 AccumulatedPerformance Weighted average performance per period

Revisions


Generated at 2026-05-14T20:19:04Z by OpenModelicaOpenModelica 1.26.7 using GenerateDoc.mos