[Hellen2024] investigated a driven RLC resonant circuit with a diode parallel to the capacitor.
Modelling the diode dynamically with junction and diffusion capacitance, the varying nonlinear capacitance is added to the fixed capacitor. The fixed capacitor also includes the diode's stray capacitance. The resistor also includes the inductor's resistance.
Setting the source frequency f = w * f0 to w
= 1, and varying the source amplitude V = mu *
V0 in the range mu = 1 to 2.6 step 0.2, various
regions of period doubling and chaos can be observed.
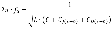
V0 is a parameter of the diode's junction capacitance,
and f0 is the natural frequency of the ciruit:

The equations for junction and diffusion capacitance are much too complicated to implement as an OpAmp-circuit.
| Name | Description |
|---|---|
| RLD-Circuit | |
| RLD-Circuit |