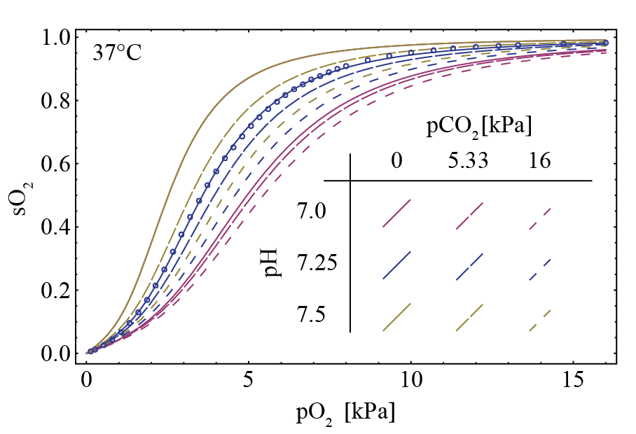
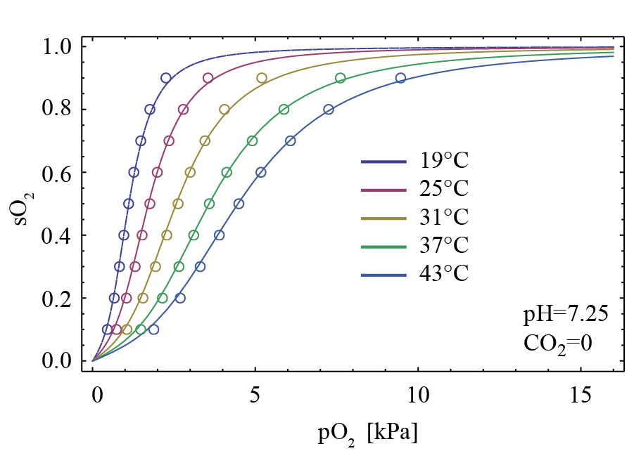
Oxygen dissociation curve of hemoglobin.
M. Mateják, T. Kulhánek, and S. Matoušek, "Adair-based hemoglobin equilibrium with oxygen, carbon dioxide and hydrogen ion activity," Scandinavian Journal of Clinical & Laboratory Investigation, pp. 1-8, 2015.

J. W. Severinghaus, "Simple, accurate equations for human blood O2 dissociation computations," Journal of Applied Physiology, vol. 46, pp. 599-602, 1979.
pO2 .. partial pressure of oxygen in gas
pCO2 .. partial pressure of carbon dioxide
sO2 .. oxygen saturation of hemoglobin
pH = log10(aH), where aH is mole fraction based activity of hydrogen ions

R. B. Reeves, "The effect of temperature on the oxygen equilibrium curve of human blood," Respiration physiology, vol. 42, pp. 317-328, 1980.
T .. temperature
2013-2018
Marek Matejak, Charles University, Prague, Czech Republic