.
GNU_ScientificLibrary
.
Blocks
.
specfunc
.
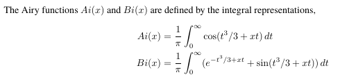
Airy_Bi
Information
Generated at 2026-05-11T20:18:58Z by
OpenModelica
OpenModelica 1.26.7 using
GenerateDoc.mos