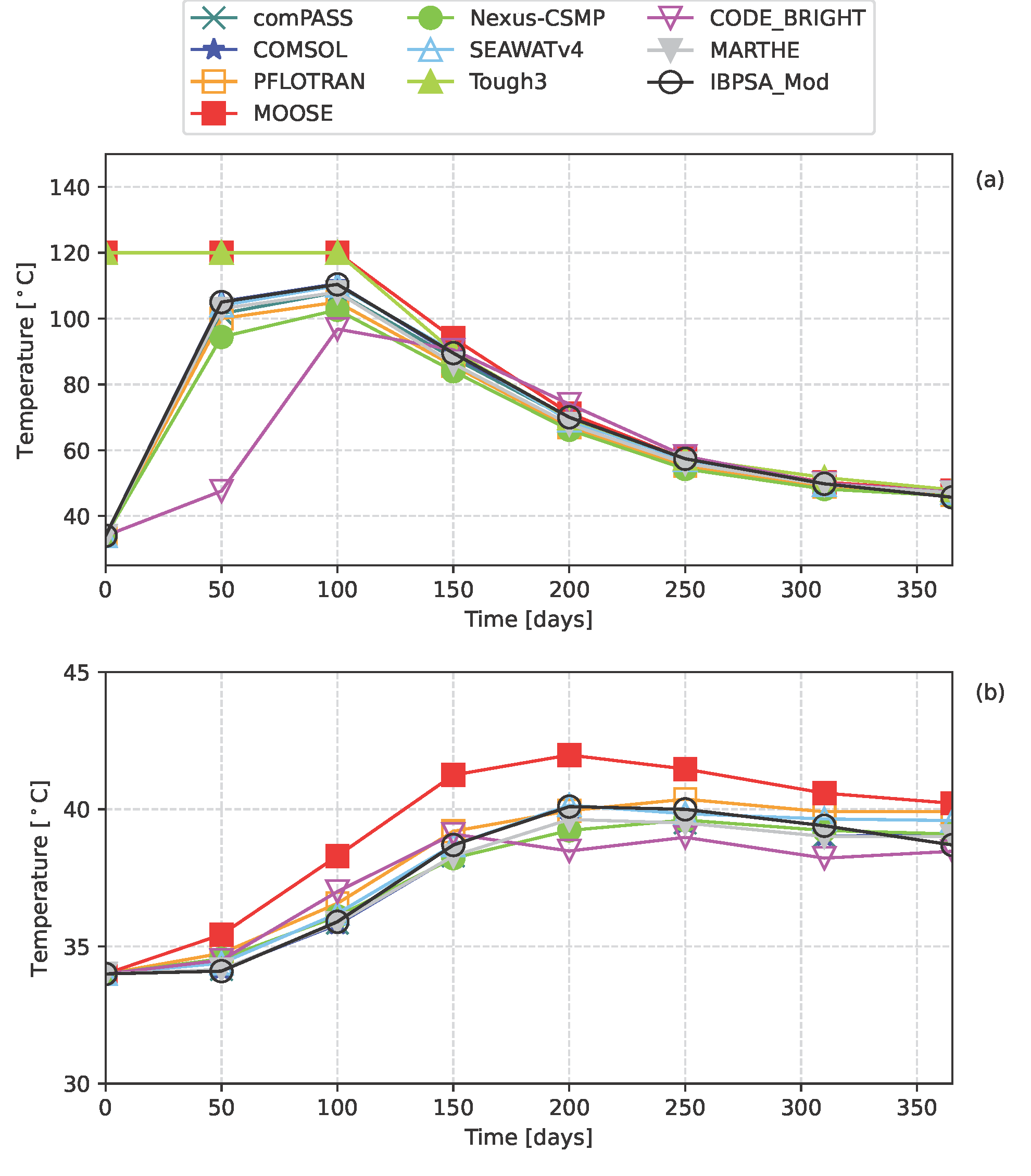
This validation case simulates an idealized operation of an aquifer thermal storage system. Results are compared with simulations from a test suite developed by Mindel et al. (2021). This test suite comprises a set of cases to assess the thermo-hydraulic modelling capabilities of various geothermal simulators.
The comparison was carried out with respect to the test case called TC2 - well-test comparison. The main goal of TC2 is to compare aquifer temperatures under a typical operation of an ATES system consisting of injection, falloff, drawdown, and build-up. The injection phase represents the charging period, while the drawdown phase represents the discharge period. Intermediate phases of falloff and build-up represent periods of storage or inactivity. The overall operational period is one year, and the sequence of the different phases is the following:

Julian E. Mindel, Peter Alt-Epping, Antoine Armandine Les Landes, Stijn Beernink, Daniel T. Birdsell, Martin Bloemendal, Virginie Hamm, Simon Lopez, Charles Maragna, Carsten M. Nielsen, Sebastia Olivella, Marc Perreaux, Maarten W. Saaltink, Martin O. Saar, Daniela Van den Heuvel, Ruben Vidal, Thomas Driesner, Benchmark study of simulators for thermo-hydraulic modelling of low enthalpy geothermal processes, Geothermics, Volume 96, 2021, 102130, ISSN 0375-6505, https://doi.org/10.1016/j.geothermics.2021.102130.
| Name | Description |
|---|---|
| Medium | Medium model |