.Modelica_Requirements.SignalAnalysis.MovingAverage

Output is the continuous moving average of the input

Information

Syntax

u_filt = MovingAverage(u=..., active=...).y;

Description

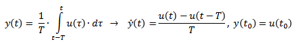
Real output y is the moving average over the input u as long as Boolean input active is true. If active = true, the output is computed as:

Example

This block is demonstrated with the following example:

results in

simulation result

Generated at 2026-05-25T20:18:59Z by OpenModelicaOpenModelica 1.26.7 using GenerateDoc.mos