DC Motor
General
This is the model of a permanent magnet DC motor, one of the most common electromechanical actuator
with caractheristics as low inductance and low friction.
It includes dead zone.
Implementation
DCMotor is based upon the mathematical model of a
permanent magnet dc motor.
It is similar to the
IdealDCMotor
class but this model is nonlinear. A dead zone is added by
using the static friction of
BearingFriction
component.
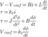
Using elements from
MSL
the model was developed to represent the mathematical equations:
Notes
-
The behavior of the voltage source is given by a real input (for example a real source block could be connected as an input, see
Modelica.Blocks.Sources
).
- This model is linear
- All the parameters and variables are in SI units
- Has angle and speed sensors as real outputs .
Generated at 2026-03-25T19:16:18Z
by OpenModelicaOpenModelica 1.26.3 using GenerateDoc.mos