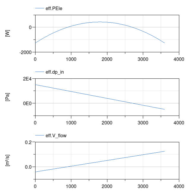
A validation model that tests the mover behaviour when the pressure
rise or flow is negative
Without the constraint that Wflo = V̇ Δp ≥ 0,
this validation model would produce negative computed mover power
when the pressure rise or the flow rate is forced to be negative,
as shown below.

Contents
- October 5, 2022, by Hongxiang Fu:
This is for #2668.
- June 6, 2022, by Hongxiang Fu:
First implementation.
This is for IBPSA,
#1621.
Generated at 2026-05-24T20:18:59Z by OpenModelicaOpenModelica 1.26.7 using
GenerateDoc.mos