This components allows to model the mass flow rate of a compressible flow (Mach >0.3) through an orifice in a wall spliting two ambiances at different pressure. The flow regime is steady state.
To be considered as an orifice, the depth of the hole in the wall has to remain bellow the hydrodynamic entrance region (Distance between the entrance of the hole and the position where the dynamic boundary layers meet). In that case and due to visquous and inertial forces, the current line is not at right angles to the opening but curved. The flow is constricted in the orifice. Consequently, the cross-section of the fluid is not equal to the geometric section of the orifice. the ratio between the fluid passage section and the geometric section is called the discharge coefficient. It is assumed to be constant and therefore independent of the flow regime.
The flow upstream the orifice is assumed to behave like a Laval nozzle (Adiabatic and isentropic tranformation of a perfect gas).
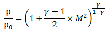
From the perfect gas law and the isentropic transformation of a perfect gas.
The relations for the pression and density along a current line derive:
It is assumed that the pressure in the opening is the downstream node pressure. Knowing pressure ratio, the Mach number M is deduced. Therefore, le velocity is computed from the Mach number and the velocity of sound at the opening.
If the function to compute the velocity of sound gives weirds results (Because of a presence of condensing phase ...), the velocity can be determined from the relation bellow.
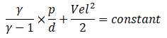
The conservation of the energy between the energy resulting from the work of the forces of pressure, internal energy and kinetic energy results in the relation of bernoulli:
It is equivalent to have a pressure loss factor equation to one. Therefore, the relation to compute mass flow rate through the orifice derives:
Where:
cp is the specific heat capacity at constant pressure T is the temperature M is the Mach number c is the velocity of sound γ is the isentropic exponent (cp/cv) p is the pressure d is the upstream density Vel is fluid velocity m_flow is the mass flow rate through openingA is cross section of the orifice Cd is the discharge coefficient | Name | Description |
|---|---|
| Medium |