This medium package models ethylene glycol - water mixtures.
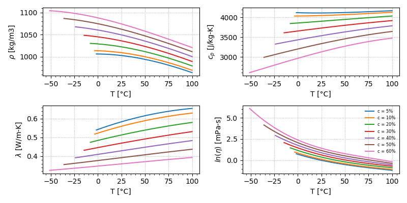
The mass density, specific heat capacity, thermal conductivity and viscosity are assumed constant and evaluated at a set temperature and mass fraction of ethylene glycol within the mixture. The dependence of the four properties are shown on the figure below.

The accuracy of the thermophysical properties is dependent on the temperature variations encountered during simulations. The figure below shows the relative error of the the four properties over a 10 °C range around the temperature used to evaluate the constant properties. The maximum errors are 0.8 % for mass density, 2.7 % for specific heat capacity, 3.2 % for thermal conductivity and 160 % for dynamic viscosity.

The figure below shows the relative error of the the four properties over a 20 °C range around the temperature used to evaluate the constant proepties. The maximum errors are 1.5 % for mass density, 5.3 % for specific heat capacity, 5.9 % for thermal conductivity and 500 % for dynamic viscosity.

The enthalpy is computed using the convention that h=0 if T=0 °C.
Density, specific heat capacity, thermal conductivity and viscosity are constant. The ethylene glycol/water mixture is modeled as an incompressible liquid. There are no phase changes. The medium is limited to temperatures below 100 °C and mass fractions below 0.60. As is the case for AixLib.Media.Water, this medium package should not be used if the simulation relies on the dynamic viscosity.
The temperature and mass fraction must be specified for the evaluation of the constant thermophysical properties. A typical use of the package is (e.g. for a temperature of 20 °C and a mass fraction of 0.40):
Medium =
AixLib.Media.Antifreeze.EthyleneGlycolWater(property_T=293.15,
X_a=0.40)
| Name | Description |
|---|---|
| Base properties |